NRM Treasurer Hon. Amb. Barbara Nekesa Oundo Unveils Funding for Presidential Vote Protection at 50,739 Polling Stations

According to a facilitation circular dated January 2, 2026, and issued by the NRM National Treasurer, Hon. Amb. Barbara Nekesa Oundo, the exercise is aimed at strengthening vote protection mechanisms at polling stations through structured training conducted at sub-county level.

Jan 3, 2026 - 10:51
 0
NRM Treasurer Hon. Amb. Barbara Nekesa Oundo Unveils Funding for Presidential Vote Protection at 50,739 Polling Stations
Hon. Amb. Barbara Nekesa Oundo, NRM National Treasurer at the NRM Office of the National Chairman (ONC) Premises

The National Resistance Movement (NRM) has released funds to facilitate the training of Presidential Polling Agents, also referred to as Presidential Vote Protectors, across sub-counties countrywide ahead of the 2026 General Elections.

 

According to a facilitation circular dated January 2, 2026, and issued by the NRM National Treasurer, Hon. Amb. Barbara Nekesa Oundo, the exercise is aimed at strengthening vote protection mechanisms at polling stations through structured training conducted at sub-county level.

The funds, which have been disbursed to respective district bank accounts, are intended to support the organisation and execution of the training sessions. District Registrars will serve as the Accounting Officers for the exercise, working closely with District Office of the National Chairman (ONC) Coordinators to ensure proper management and distribution of the funds to beneficiaries at lower levels.

Hon. Nekesa Oundo emphasised prudent financial management, advising that the two district-based officers who double as trainers—the District Registrar and the District ONC Coordinator—should only move with funds sufficient for the number of sub-counties scheduled for training on a given day.

Categories of Participants

The training will bring together key party mobilisers and operatives involved in electoral organisation and vote protection. These include:

NRM Sub-County Chairpersons

NRM Sub-County Registrars

Sub-County ONC Coordinators

NRM Parish Registrars

Parish ONC Coordinators

Identified Presidential Vote Protectors (three polling agents per polling station)

The Vote Protectors are expected to play a critical role in safeguarding the President’s vote at polling stations during the election.

Facilitation Structure

The facilitation package has been clearly outlined to cater for trainers, coordinators, registrars, and participants involved in the training. Trainers at the district level—specifically the District Registrar and the District ONC Coordinator—will each receive Shs. 200,000 as training allowance.

At sub-county level, the Sub-County Registrar and ONC Coordinator will each receive Shs. 20,000, while Parish Registrars and Parish ONC Coordinators will also be facilitated with Shs. 20,000 each. Identified Presidential Vote Protectors will similarly receive Shs. 20,000 per individual.

In addition, Shs. 100,000 has been allocated per sub-county to cater for refreshments for participants during the training sessions.

NRM Sub-County Chairpersons will receive Shs. 20,000 each to enable them coordinate and monitor the exercise within their jurisdictions.

Oversight and Accountability

To enhance accountability and oversight, the Party has provided additional facilitation to district leadership. Each NRM District Chairperson will receive Shs. 200,000, while the District Administrative Secretary and the District Secretary for Finance will each be facilitated with Shs. 100,000. The three officials are tasked with overseeing the exercise and ensuring that facilitation reaches the intended categories of beneficiaries.

Furthermore, Shs. 100,000 has been provided for each district to cater for bank charges. A variable allocation has also been made for districts without bank branches, to cover transport costs incurred while accessing banking services.

Supporting Documentation

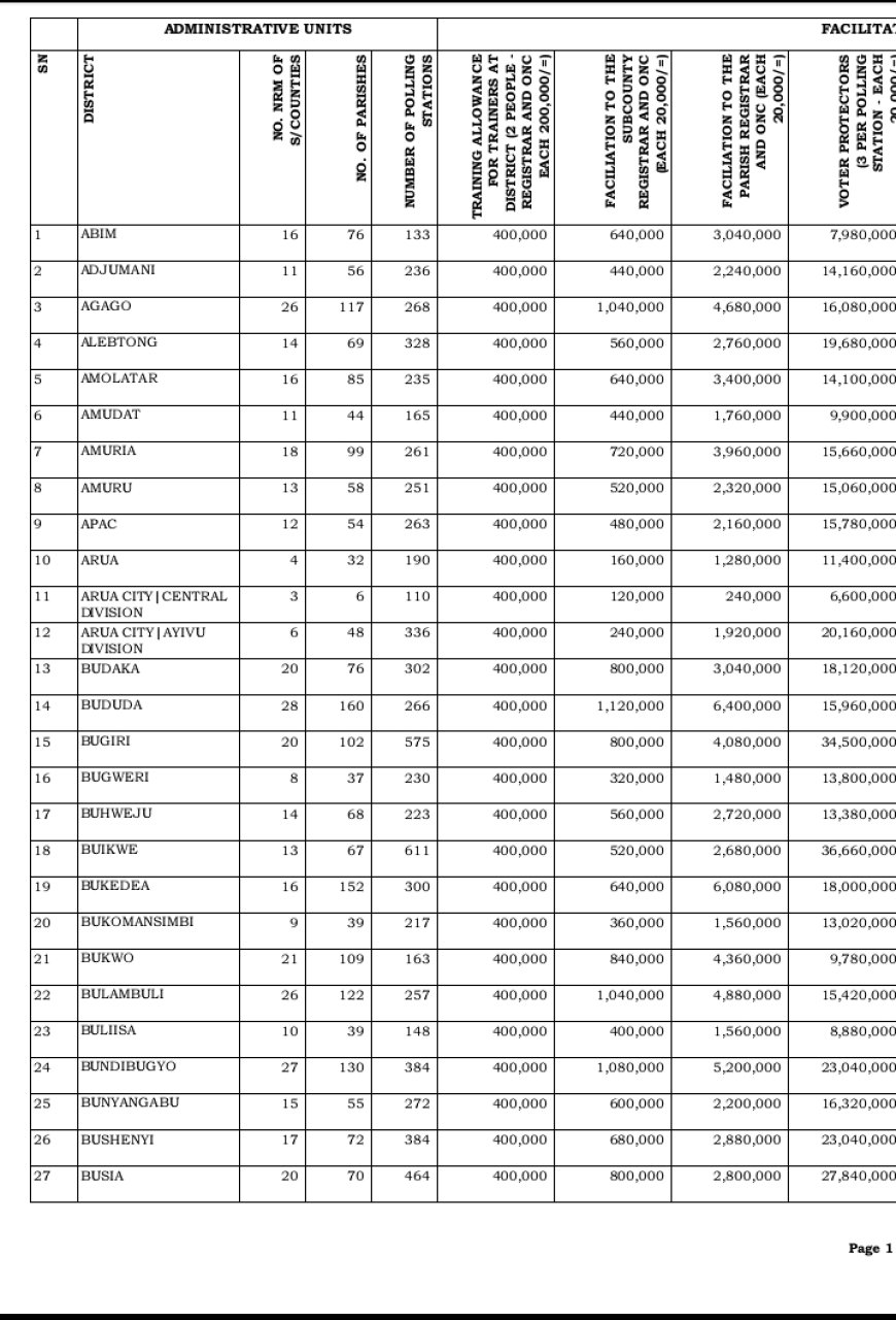
Attached to the communication is a detailed district-by-district breakdown of the facilitation, as well as a comprehensive schedule of polling stations per sub-county to guide implementation.

 

The facilitation framework, as outlined by Hon. Barbara Nekesa Oundo, underscores the NRM’s focus on structured preparation, coordination, and accountability as the party intensifies grassroots mobilisation and vote protection efforts ahead of the 2026 presidential election.

Files

John Kusolo John Kusolo is a Ugandan Journalist, Sport fanatic, Tourist, Pastor, and Motivational Speaker. Journalist: He works for Nile Chronicles News, NCN. Passion: Known for his dedication to his work and strong motivation. Ambitious: He sets goals for himself and strives to achieve them. Enjoys challenges: He thrives in challenging situations.